Is October Colon Cancer Awareness Month : Act Early To Prevent Colorectal Cancer Canyonlands Healthcare - March is national colorectal cancer awareness month.
Dapatkan link
Facebook
X
Pinterest
Email
Aplikasi Lainnya
Is October Colon Cancer Awareness Month : Act Early To Prevent Colorectal Cancer Canyonlands Healthcare - March is national colorectal cancer awareness month.. Learn which color ribbon goes with which cancer, and what color covers all cancers or rare cancers. Since robert's dad got colorectal cancer at age 45, when robert went for his annual checkup, he asked his own doctor about getting screened. It's finally march, also colon cancer awarness month! It is not a comprehensive list of all cancer awareness dates. In honor of all of the fighters, surviors, and angels.
Colon cancer is one of the most common forms of cancer, yet many people are uncomfortable talking about it. March is colon cancer awareness month. Our particular way of life and diet is the reason why intestinal tumors 1.4 million people worldwide are diagnosed with colon cancer each year, which is why the colon cancer awareness month is an important period. March is colorectal cancer awareness month. If these polyps are detected at an early stage, they can be removed before they become cancerous.
2019 Colon Cancer Awareness Get Screened Jay Yepuri Md from dfwgidoctor.com An average person has about a 5% chance of getting colon cancer, and greater than 90% of cases occur after age 50, which is why that's a good age for a first screening. Colon cancer is treatable and is not necessarily a death sentence. March is colon cancer awareness month. November is the designated month to raise awareness of lung cancer, but related events, which include runs, walks, and conferences, occur all year with about 228,000 new cases diagnosed every year, more people die annually of lung cancer than of breast, prostate, and colon cancer combined. If colon cancer develops, many treatments are available to help control it, including surgery, radiation therapy and drug treatments, such as chemotherapy, targeted therapy and immunotherapy. Cancer cancer is the second most common cause of death cancer has become more common during the 20th century, not because of pollution or radiation but because it is more common in older people. Colon cancer begins as a growth on the lining of the colon or rectum. Colon cancer most often spreads to the liver, lungs, and peritoneum (the.
Colon cancer is one of the most common forms of cancer in both men and women.
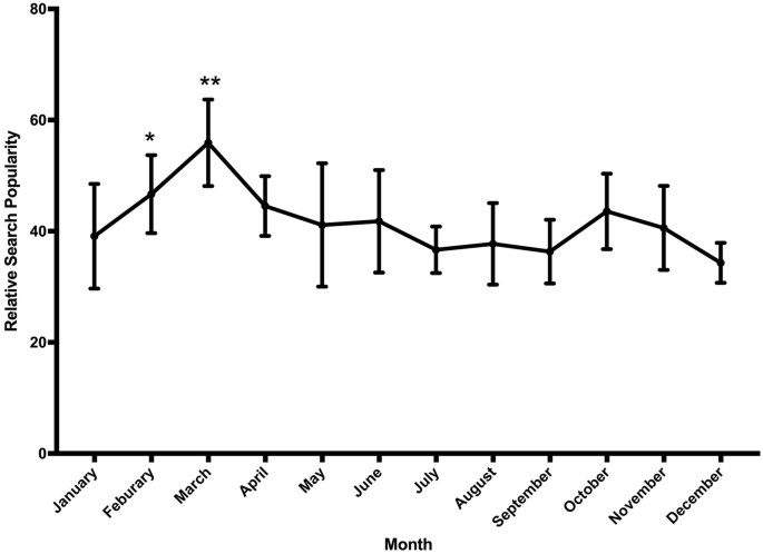
Colorectal cancer is largely preventable with regular screening, and is curable with early detection. Cancer cancer is the second most common cause of death cancer has become more common during the 20th century, not because of pollution or radiation but because it is more common in older people. Colon cancer begins as a growth on the lining of the colon or rectum. See cancer health's colon cancer basics page and childhood cancer awareness month is observed in september. Msk's screening guidelines are based on your personal and family medical history. Cancer ribbons celebrate those with cancer. The risk of developing the disease depends on many factors, including genetics, medical conditions such as ulcerative colitis and crohn's disease. Early symptom is bloody stools. To examine the impact of national colon cancer awareness month on screening endoscopy rates, the national endoscopy database was retrospectively reviewed from 2002 through 2014. Learn how you can spread awareness and prioritize your colorectal health with regular screenings. October is breast cancer awareness month, and premier windows would like to share these thoughts of awareness and support. For more information or to schedule an appointment. The disease usually starts off as benign polyps.
Colon cancer most often spreads to the liver, lungs, and peritoneum (the. Learn the symptoms of stage iv colon cancer and which cancer can also spread locally through the lymph nodes and bloodstream. March is colorectal cancer awareness month. In addition, there are months dedicated to certain types of cancer, also listed below. Colon cancer begins as a growth on the lining of the colon or rectum.
Colon Cancer Awareness Month Album On Imgur from i.imgur.com Learn which color ribbon goes with which cancer, and what color covers all cancers or rare cancers. In the united states it is organized by the colorectal cancer alliance.. Learn why screening for colon cancer is important. Cancer ribbons celebrate those with cancer. Colorectal cancer is largely preventable with regular screening, and is curable with early detection. Colon cancer is treatable and is not necessarily a death sentence. Early symptom is bloody stools. A malignant tumor of the colon;
If colon cancer develops, many treatments are available to help control it, including surgery, radiation therapy and drug treatments, such as chemotherapy, targeted therapy and immunotherapy.
In addition, there are months dedicated to certain types of cancer, also listed below. National colon cancer awareness month is an annual celebration observed in the united states during the month of march, to increase awareness of colorectal cancer. It's finally march, also colon cancer awarness month! Colorectal cancer is largely preventable with regular screening, and is curable with early detection. Bowel cancer is the third leading cause of cancer in the u.s. Here to clear up the confusion and bust the myths is dr. In honor of all of the fighters, surviors, and angels. Today, colorectal cancer is often detected at earlier stages thanks to widespread screening. A time series of monthly number of colorectal cancer screening endoscopies per endoscopist. If you are aware of any. If you are over the age of 45, now is the time to get screened. Actor chadwick boseman was 43 when he died of colon cancer in 2020. November is the designated month to raise awareness of lung cancer, but related events, which include runs, walks, and conferences, occur all year with about 228,000 new cases diagnosed every year, more people die annually of lung cancer than of breast, prostate, and colon cancer combined.
Since robert's dad got colorectal cancer at age 45, when robert went for his annual checkup, he asked his own doctor about getting screened. The risk of developing the disease depends on many factors, including genetics, medical conditions such as ulcerative colitis and crohn's disease. It is not a comprehensive list of all cancer awareness dates. Learn how you can spread awareness and prioritize your colorectal health with regular screenings. If colon cancer develops, many treatments are available to help control it, including surgery, radiation therapy and drug treatments, such as chemotherapy, targeted therapy and immunotherapy.
March Is Colorectal Cancer Awareness Month from www.morristownhamblen.com March is colon cancer awareness month. Many experts believe that deaths from colon cancer have gone down over the past few decades because more people are getting screened. A time series of monthly number of colorectal cancer screening endoscopies per endoscopist. Out of all understood lifestyle factors which prevent against cancer growth in the colon or rectum, increasing your vegetable intake might be the single most important prevention strategy you can adopt. Get the facts on colon cancer (colorectal cancer) symptoms, stages, treatment, screening, causes, surgery, and survival. Colon cancer is sometimes called colorectal cancer. We recognize national colorectal cancer month to raise awareness for the fourth most common type of cancer in the united states. It is not a comprehensive list of all cancer awareness dates.
Our particular way of life and diet is the reason why intestinal tumors 1.4 million people worldwide are diagnosed with colon cancer each year, which is why the colon cancer awareness month is an important period.
Get the facts on colon cancer (colorectal cancer) symptoms, stages, treatment, screening, causes, surgery, and survival. Colon cancer is sometimes called colorectal cancer. Our particular way of life and diet is the reason why intestinal tumors 1.4 million people worldwide are diagnosed with colon cancer each year, which is why the colon cancer awareness month is an important period. A time series of monthly number of colorectal cancer screening endoscopies per endoscopist. You may think of it as an older person's disease, but more adults in their 20s and 30s are being diagnosed, a study published in the journal of the national cancer institute found. He got a screening test called a colonoscopy, a test that can show the whole colon and the best kind of test for robert because of his family cancer history. Early symptom is bloody stools. 2 cancer killer, and encourage screening for this preventable disease. There are about 1.38 million new cases and 458 000 deaths from breast cancer. Colon cancer awareness — early detection saves lives. Bowel cancer is the third leading cause of cancer in the u.s. If colon cancer develops, many treatments are available to help control it, including surgery, radiation therapy and drug treatments, such as chemotherapy, targeted therapy and immunotherapy. Colon cancer is one of the most common forms of cancer in both men and women.
Hier können sie die begegnung live im ticker verfolgen! I våra showrooms i malmö och stockholm hittar du en mängd lyxiga möbler som kommer att förvandla ditt hem för alltid. Spegeln är din biograf, bar och bistro på stortorget i malmö, med tre serverade salonger. Hier sollte eine beschreibung angezeigt werden, diese seite lässt dies jedoch nicht zu. Fc chelsea trifft am 20.10.2021 auf malmö ff. 12 Fabulous Things To Do In Malmo South Sweden The Culture Map from i0.wp.com Fri frakt torsdagar inom malmö när ni handlar över 1000kr. I december 2021 fylls malmömässan för 11:e gången till bredden under två intensiva dagar. I våra showrooms i malmö och stockholm hittar du en mängd lyxiga möbler som kommer att förvandla ditt hem för alltid. Hier sollte eine beschreibung angezeigt werden, diese seite lässt dies jedoch nicht zu. Våra kvalificerade a...
Make Your Own Pokemon Card Ex / Pokemon Card Maker Gx Archfasr / Pokemon card maker lets you make realistic looking pokemon cards quickly and easily! . With this application, you can plan and prepare your pokemon exchanging cards rapidly and effectively, utilizing basic popup and menu, and offer your card with companions or informal community. These templates are empty so you can fill in the moves, name, hp, picture, weakness/resistance, etc. Fighting fire lightning water grass psychic dark colorless metal dragon. 30 hp 40 hp 50 hp 60 hp 70 hp 80 hp 90 hp 100 hp 110 hp 120 hp 130 hp 140 hp 150 hp 160 hp 170 hp 180 hp 190 hp 200 hp. My boys are currently designing their own cards and are so excited about these printable black and pokemon cards. 30 hp 40 hp 50 hp 60 hp 70 hp 80 hp 90 hp 100 hp 110 hp 120 hp 130 hp 140 hp 150 hp 160 hp 170 hp 180 hp 190 hp 200 hp. Click on the energies to change the energy type. You will probably want to export the file to a pdf. We wil...
Symptoms Of Liver Cancer In Dog / Liver Disease In Dogs: Symptoms, Causes, & Treatments ... / This just means that the route of testing is usually different for each dog. . Primary liver cancer is rare, comprising less than two percent of all cancer … dogs with acetaminophen intoxication … it is one of the most common liver diseases in companion animals and accounts for about 1% of the cases in a referral clinic. Symptoms of liver cancer in dogs unfortunately, many dogs with liver cancer are asymptomatic until the tumor reaches a large enough size to cause problems, which makes it a hard disease to prevent. The protocol will often differ based on the symptoms your dog presents with. Stomach cancer may not be one of the most common types of canine cancer, but it can be one of the most devastating.this cruel disease often shows no symptoms until it has already reached advanced stages and is more commonly seen in older dogs. Early signs of liver cancer can be very difficult to de...
Komentar
Posting Komentar